Э.И. Федорова,
(профессор Сыктывкарского лесного института - филиала ГОУВПО «Санкт-Петербургская государственная лесотехническая академия имени С.М. Кирова»)
Роль информационных технологий в ориентировочно-Исследовательской деятельности обучаемых
Для формирования способности к творческой созидательной деятельности будущий специалист должен не только освоить и применять на практике знания, предусмотренные государственным стандартом, но и стремиться постоянно их совершенствовать, владея современными методами обработки информации. При этом надо учитывать, что процесс усвоения учебного материала протекает в условиях жесткого дефицита времени, которое отводится для овладения тем объемом знаний, который предусмотрен государственным стандартом, в частности речь идет о химических дисциплинах в технических вузах.
Следовательно, необходима интенсификация учебного процесса за счет применения таких моделей обучения, которые предусматривают получение максимума информации при минимальных энергетических затратах. Причем следует разрабатывать наиболее рациональные способы получения информации. Так, на рис. 1 показана структура интенсивной модели обучения, которая применяется при обучении химическим дисциплинам и учитывает взаимосвязь психических и физиологических основ мышления [1;2;3,с.27].
Предлагаемыми инструкциями, алгоритмами и другими ориентирами должны руководствоваться обучаемые в процессе формирования действий, которые им следует довести до «определенного уровня совершенства» [1, с. 177]. Управление познавательной деятельностью предусматривает наведение на самостоятельный поиск информации. Но даже при выполнении действий по жесткой схеме (по инструкции, алгоритму и т. д.) при формовании понятий, умений проявляется интеллектуальная активность, и действие выступает как единица ориентировочно-исследовательской деятельности.
Рис. 1. Структура интенсивной модели обучения
Инструкции построены на основе комплексных обобщений значительного массива информации, конкретизировать которую следует в процессе самостоятельной мыслительной деятельности. Индивидуальные особенности обучаемых проявляются в различных возможностях видения проблемной ситуации, в анализе заданий, в умении извлечь накопленный опыт и применить его в новой ситуации, критической оценке полученных результатов работы и исправлении ошибок. Механизм регуляции деятельности обучаемых предполагает сличение полученных данных с заложенным в ориентирах и инструкциях смыслом. На продуктивность мышления субъекта не оказывает отрицательное влияние содержание инструкций, которые ориентируют на выполнение заданных условий, поскольку мотивом к выполнению действий является то, что инструкции предлагают не только наиболее рациональный способ получения информации, но и возможность для творчества (поиск других способов получения информации).
Таким образом, предлагаемые инструкции для получения информации, с одной стороны, средство для ее получения, а с другой стороны, они не освобождают от самостоятельной исследовательской работы.
Компьютерное моделирование и динамическая визуализация химических объектов, элементарные частицы которых относятся к микромиру, позволяют сформировать определенные образы и представления. Оперируя мысленными образами, можно не только глубоко познавать строение и взаимодействия между реакционными частицами, но и научиться прогнозировать ход химических процессов и результаты этих процессов, что очень важно для развития творческого мышления [4, с. 88-92].
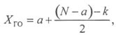
Для формирования умения прогнозировать свойства необходимо знать пространственное строение молекул. Разработан алгоритм (предполагающий выполнение последовательных действий по определению значений а, N, к) для определения геометрической формы бинарных соединений p-элементов и создана компьютерная программа на основе этого алгоритма:
где Хго - число гибридных орбиталей; а - количество заместителей при центральном атоме; N - номер группы, в которой он находится; к - число кратных связей (соответствует одному электрону от центрального атома для образования пи-связи или ОЭП - одноэлектронному переносу); разность (N - а) показывает количество несвязанных электронов, а деление на 2 связано с тем, что неподеленная пара электронов занимает одну орбиталь (принцип Паули).
После вычисления числа гибридных орбиталей программа показывает соответствующую форму молекулы на основе положений теории Гиллеспи и с учетом «базовой» геометрии (она определяется числом «точечных» отрицательных зарядов, которые соответствуют всем типам связи и неподеленным парам электронов). Например, надо установить геометрию молекулы IСl5: после ввода значений а и N программа показывает цифру 6 и после запуска программы - октаэдрическую геометрическую форму, соответствующую sр3d2-ги6ридизации, причем наличие орбитали с неспаренными электронами показано другим цветом по сравнению со связующими орбиталями.
Аналогично для РСl5 установлена тригональная бипирамида и тетраэдр для РС13 (рис. 2).
Рис. 2. Структура Прогнозирование геометрии молекул бинарных соединений на основе алгоритма
Мысленное моделирование взаимодействия между рассматриваемыми объектами со стороны обучаемых качественно отличается от работы программы ЭВМ вследствие особенности человеческого мышления. При работе с алгоритмом (I) обучаемые нацелены на извлечение ранее накопленного опыта из смежных дисциплин, поскольку при определении геометрии молекул надо учитывать увеличение отталкивания между электронными парами, что, согласно положению теории Гиллеспи, приводит к уменьшению валентного угла в молекулах (неподеленная пара - неподеленная пара > неподеленная пара - связующая пара > связующая пара - связующая пара). Инструкция предлагает рассмотрение возможного отклонения валентных углов с учетом взаимодействия электронных орбиталей, например для молекулы SF4 (при сравнении с «базовой» геометрией). В результате такого исследования обучаемые должны обратить внимание на наиболее энергетически выгодное экваториальное положение орбитали с неподеленной парой электронов.
Роль таких разработок в том, что они позволяют без существенных энергетических затрат усвоить значительный объем информации, которым можно будет оперировать при более глубоком рассмотрении химических процессов и явлений в процессе изучения химических дисциплин. И подвергать критике подобные разработки - значит лишить обучаемых такой возможности, поскольку поступающие в технические вузы абитуриенты испытывают затруднения при изучении химических дисциплин.
Несмотря на то что алгоритм, составленный на основании положений теории Гиллеспи, имеет ограничения, он позволяет прогнозировать базовую геометрию молекул бинарных соединений в органической химии. Поскольку электронные орбитали атома углерода не имеют неподеленных пар электронов, прогнозирование пространственного строения молекул органических соединений упрощается, и инструкция показывает, что количество гибридных орбиталей определяется числом заместителей при атоме углерода, а валентный угол, согласно гипотезе Л. Полинга, должен соответствовать минимальному отталкиванию между электронными орбиталями. В органической химии особенно важна динамическая визуализация представления о гибридизации электронных орбиталей, образования различных типов химических связей, способов передачи взаимного влияния атомов и т. д. Так, на рис. 3 представлен фрагмент программы взаимного влияния атомов, в которой дана ориентировка к определению вида эффектов, обусловливающих взаимное влияние атомов, что позволяет прогнозировать возможные продукты реакции.

Рис. 3. Динамика мезомерного эффекта в молекуле бутадиена-1,3
Поскольку теория строения A.M. Бутлерова считается в настоящее время фундаментальной общехимической теорией химических соединений и зависимости свойств их от химического строения, целесообразно ее применять и при изучении пространственного строения неорганических соединений и прогнозирования их свойств.
Лекционный курс по теоретическим основам органической химии целесообразно осуществлять в проекторном режиме, поскольку без компьютерного моделирования и динамической визуализации представить и усвоить взаимодействия между реакционными частицами очень трудно, а научить прогнозировать продукты реакции просто невозможно. Материал курса органической химии для студентов технологических специальностей является основой для усвоения дисциплин специального цикла, что формирует их как специалистов, способных к созидательной деятельности.
Литература
1. Тихомиров O.K. Психология мышления [Текст]. М., 2007.
2. Анохин П.К. Очерки по физиологии функциональных систем [Текст]. М., 1975.
3. Судаков К.В. Пластичность системных механизмов мозга [Текст] // Успехи физиологических наук. 1996. № 21. Т. 27.
4. Федорова Э.И. Мыследеятельностный подход в обучении химии
[Текст] // Инновации в образовании. 2007. № 5.